基本信息:
中文名稱 	反丁烯二腈
中文別名 	富馬酸腈;富馬腈;反式-1,2-二氰基乙烯;富馬二腈;
英文名稱 	(E)-but-2-enedinitrile
英文別名 	FUMARONITRILE;(2E)-but-2-enedinitrile;Fumarodinitrile;2-Butenedinitrile,(2E);2-Butenedinitrile,(E);1,2-dicyanoethylene;Fumaric nitrile;trans-but-2-enedinitrile;But-2-enedinitrile;Furmaronitrile;trans-1,2-Dicyanoethylene;
CAS號(hào) 	764-42-1
合成路線:
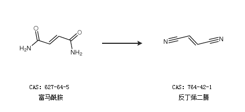
1.通過(guò)富馬酰胺合成反丁烯二腈

2.通過(guò)丙烯腈合成反丁烯二腈

合成路線僅供參考